商品簡介
商品簡介
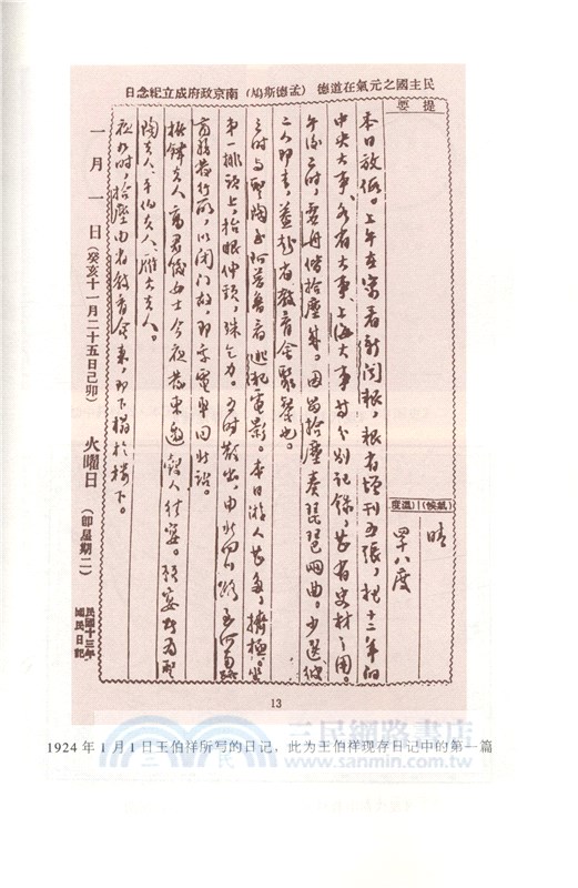
王伯祥:(1890―1975)早年擔任上海商務印書館史地部編輯10餘年。在此期間,著有《三國史略》、《鄭成功》、《太平天國革命史》、《中日戰爭》等著作,編輯史、地教科書多種,並有《四庫全書述略》、《古史辯今古文學》、《辛棄疾的生平》等論文,發表於各雜誌。1932年離開商務印書館到開明書店任編輯,直至新中國成立後開明書店與青年出版社合併成立中國青年出版社。這一時期除編寫了若干教科書以外,還編集出版了《二十五史》、《二十五史補編》等。
主題書展
更多書展購物須知
大陸出版品因裝訂品質及貨運條件與台灣出版品落差甚大,除封面破損、內頁脫落等較嚴重的狀態,其餘商品將正常出貨。
特別提醒:部分書籍附贈之內容(如音頻mp3或影片dvd等)已無實體光碟提供,需以QR CODE 連結至當地網站註冊“並通過驗證程序”,方可下載使用。
無現貨庫存之簡體書,將向海外調貨:
海外有庫存之書籍,等候約45個工作天;
海外無庫存之書籍,平均作業時間約60個工作天,然不保證確定可調到貨,尚請見諒。
為了保護您的權益,「三民網路書店」提供會員七日商品鑑賞期(收到商品為起始日)。
若要辦理退貨,請在商品鑑賞期內寄回,且商品必須是全新狀態與完整包裝(商品、附件、發票、隨貨贈品等)否則恕不接受退貨。







